Topics Covered :

● Reactions of Phenols
● Electrophilic Aromatic Substitution
● Kolbe's Reaction
● Reimar-Tiemann Reaction
● Reaction of Phenol with Zinc Dust
● Oxidation

Reactions of phenols :

Following reactions are shown by phenols only :

Electrophilic aromatic substitution :

`=>` In phenols, the reactions that take place on the aromatic ring are electrophilic substitution reactions.

`=>` The `color{red}(–OH)` group attached to the benzene ring activates it towards electrophilic substitution.

● It directs the incoming group to ortho and para positions in the ring as these positions become electron rich due to the resonance effect caused by `color{red}(–OH)` group. The resonance structures are shown under acidity of phenols.

`=>` Common electrophilic aromatic substitution reactions taking place in phenol are as follows :

Nitration :

`=>` With dilute nitric acid at low temperature (`298 K`), phenol yields a mixture of ortho and para nitrophenols. See fig.1.

● The ortho and para isomers can be separated by steam distillation.

● o-Nitrophenol is steam volatile due to intramolecular hydrogen bonding while p-nitrophenol is less volatile due to intermolecular hydrogen bonding which causes the association of molecules. See fig.2.

● With concentrated nitric acid, phenol is converted to 2,4,6-trinitrophenol. The product is commonly known as picric acid. The yield of the reaction product is poor. See fig.3.

● 2, 4, 6 - Trinitrophenol is a strong acid due to the presence of three electron withdrawing `color{red}(–NO_2)` groups which facilitate the release of hydrogen ion.

● Picric acid is prepared by treating phenol first with concentrated sulphuric acid which converts it to phenol-2,4-disulphonic acid, and then with concentrated nitric acid to get 2,4,6-trinitrophenol.

Halogenation :

`=>` On treating phenol with bromine, different reaction products are formed under different experimental conditions.

(a) When the reaction is carried out in solvents of low polarity such as `color{red}(CHCl_3)` or `color{red}(CS_2)` and at low temperature, monobromophenols are formed. See fig.1.

● The usual halogenation of benzene takes place in the presence of a Lewis acid, such as `color{red}(FeBr_3)`, which polarises the halogen molecule.

● In case of phenol, the polarisation of bromine molecule takes place even in the absence of Lewis acid. It is due to the highly activating effect of `color{red}(–OH)` group attached to the benzene ring.

(b) When phenol is treated with bromine water, 2,4,6-tribromophenol is formed as white precipitate. See fig.2.
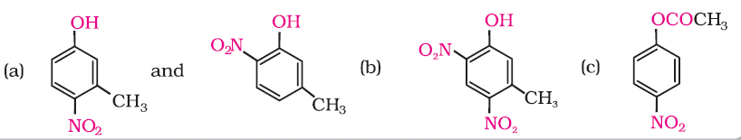
Q 3072056836

Write the structures of the major products expected from the following reactions:
(a) Mononitration of 3-methylphenol
(b) Dinitration of 3-methylphenol
(c) Mononitration of phenyl methanoate.

Solution:

The combined influence of `–OH` and `–CH_3` groups determine the position of the incoming group.

Kolbe’s reaction :

`=>` Phenoxide ion generated by treating phenol with sodium hydroxide is even more reactive than phenol towards electrophilic aromatic substitution.

`=>` Therefore, it undergoes electrophilic substitution with carbon dioxide, a weak electrophile.

`=>` Ortho hydroxybenzoic acid is formed as the main reaction product.

Reimer-Tiemann reaction :

`=>` On treating phenol with chloroform in the presence of sodium hydroxide, a `color{red}(–CHO)` group is introduced at ortho position of benzene ring. This reaction is known as Reimer - Tiemann reaction.

`=>` The intermediate substituted benzal chloride is hydrolysed in the presence of alkali to produce salicylaldehyde.

Reaction of phenol with zinc dust :

Phenol is converted to benzene on heating with zinc dust.

Oxidation :

`=>` Oxidation of phenol with chromic acid produces a conjugated diketone known as benzoquinone.

`=>` In the presence of air, phenols are slowly oxidised to dark coloured mixtures containing quinones.

 
SiteLock