Topics Covered :

● Reduction Reactions of Carbonyl Compounds
● Oxidation Reactions of Carbonyl Compounds
● Tollen's Test
● Fehling's Test
● Oxidation of Methyl Ketones by Haloform Reaction

Reduction :

(i) `color{green}(text(Reduction to Alcohols ))` : Aldehydes and ketones are reduced to primary and secondary alcohols respectively by sodium borohydride `color{red}((NaBH_4))` or lithium aluminium hydride `color{red}((LiAlH_4))` as well as by catalytic hydrogenation. See fig.1.

(ii) `color{green}(text(Reduction to Hydrocarbons ))` : The carbonyl group of aldehydes and ketones is reduced to `color{red}(CH_2)` group on treatment with zinc amalgam and concentrated hydrochloric acid [Clemmensen reduction] or with hydrazine followed by heating with sodium or potassium hydroxide in high boiling solvent such as ethylene glycol (`color{green}(text(Wolff-Kishner reduction))`). See fig.2.

Oxidation :

`=>` Aldehydes differ from ketones in their oxidation reactions.

`=>` Aldehydes are easily oxidised to carboxylic acids on treatment with common oxidising agents like nitric acid, potassium permanganate, potassium dichromate, etc.

● Even mild oxidising agents, mainly Tollens’ reagent and Fehlings’ reagent also oxidise aldehydes.

`color{red}(R-CHO overset([O])→ R- COOH)`

`=>` Ketones are generally oxidised under vigorous conditions, i.e., strong oxidising agents and at elevated temperatures.

● Their oxidation involves carbon-carbon bond cleavage to afford a mixture of carboxylic acids having lesser number of carbon atoms than the parent ketone.

`color{red}(R- overset(1)CH_2 - underset(underset(O)(||)) overset(2)C - overset(3)CH_2-R' overset([O])→ underset(text{By cleavage of} C_1-C_2 text{bond})(R-COOH+R' - CH_2COOH) +underset(text{ By cleave of } C_2-C_3 text{bond})(R-CH_2COOH+R'-COOH))`

`=>` The mild oxidising agents given below are used to distinguish aldehydes from ketones :

Tollens’ test :

`=>` On warming an aldehyde with freshly prepared ammoniacal silver nitrate solution (Tollens’ reagent), a bright silver mirror is produced due to the formation of silver metal.

● The aldehydes are oxidised to corresponding carboxylate anion.

● The reaction occurs in alkaline medium.

`color{red}(RCHO +2[Ag(NH_3)_2]^(+) + 3 OH^(-) → RCO O^(-)+2Ag+2H_2O+4NH_3)`

Fehling’s test :

`=>` Fehling reagent comprises of two solutions, Fehling solution A and Fehling solution B.

● `color{green}(text(Fehling solution A ))` : Aqueous copper sulphate

`color{green}(text(Fehling solution B ))` : Alkaline sodium potassium tartarate (Rochelle salt).

● These two solutions are mixed in equal amounts before test.

● On heating an aldehyde with Fehling’s reagent, a reddish brown precipitate is obtained.

● Aldehydes are oxidised to corresponding carboxylate anion.

`color{red}(text(Note ))` : Aromatic aldehydes do not respond to this test.

`color{red}(R-CHO +2Cu^(2+) + 5 O H^(-) → undersettext(Red - brown ppt)(RCO O^(-) +Cu_2 O+3H_2O))`

Oxidation of methyl ketones by haloform reaction :

`=>` Aldehydes and ketones having at least one methyl group linked to the carbonyl carbon atom (methyl ketones) are oxidised by sodium hypohalite to sodium salts of corresponding carboxylic acids having one carbon atom less than that of carbonyl compound.

● The methyl group is converted to haloform.

● This oxidation does not affect a carbon-carbon double bond, if present in the molecule.

● Iodoform reaction with sodium hypoiodite is also used for detection of `color{red}(CH_3CO)` group or `color{red}(CH_3CH(OH))` group which produces `color{red}(CH_3CO)` group on oxidation.
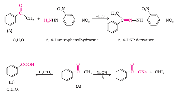
Q 3052267134

An organic compound (A) with molecular formula `C_8H_8O` forms an orange-red precipitate with 2,4-DNP reagent and gives yellow precipitate on heating with iodine in the presence of sodium hydroxide. It neither reduces Tollens’ or Fehlings’ reagent, nor does it decolourise bromine water or Baeyer’s reagent. On drastic oxidation with chromic acid, it gives a carboxylic acid (B) having molecular formula `C_7H_6O_2`. Identify the compounds (A) and (B) and explain the reactions involved.

Solution:

(A) forms 2,4-DNP derivative. Therefore, it is an aldehyde or a ketone. Since it does not reduce Tollens’ or Fehling reagent, (A) must be a ketone. (A) responds to iodoform test. Therefore, it should be a methyl ketone. The molecular formula of (A) indicates high degree of unsaturation, yet it does not decolourise bromine water or Baeyer’s reagent. This indicates the presence of unsaturation due to an aromatic ring.
Compound (B), being an oxidation product of a ketone should be a carboxylic acid. The molecular formula of (B) indicates that it should be benzoic acid and compound (A) should, therefore, be a monosubstituted aromatic methyl ketone. The molecular formula of (A) indicates that it should be phenyl methyl ketone (acetophenone). Reactions are as follows:

 
SiteLock