Topic Covered

♦ Division Algorithm for Polynomials

Division Algorithm for Polynomials

`color{green} ✍️ ` You know that a cubic polynomial has at most three zeroes.

`color{green} ✍️` However, if you are given only one zero, can you find the other two?

`color(red)(=>"For this, let us consider the cubic polynomial")` `color(blue)(x^3 – 3x^2 – x + 3)`.

If we tell you that one of its zeroes is `1,` then you know that `x – 1` is a factor of `x^3 – 3x^2 – x + 3`.

So, you can divide `x^3 – 3x^2 – x + 3 `by `x – 1,` as you have

learnt in Class IX, to get the quotient `x^2 – 2x – 3`.

Next, you could get the factors of `x^2 – 2x – 3`, by splitting the middle term, as `(x + 1)(x – 3)`.

This would give you

`color(blue)(x^3 – 3x^2 – x + 3) = (x – 1)(x^2 – 2x – 3)`

`" " = (x – 1)(x + 1)(x – 3)`

So, all the three zeroes of the cubic polynomial are now known to you as

`1, – 1, 3`.
Q 3149567413

Divide `2x^2 + 3x + 1` by `x + 2` .
Class 10 Chapter 2 Example 6
Solution:

Note that we stop the division process when
either the remainder is zero or its degree is less than the
degree of the divisor. So, here the quotient is `2x – 1` and
the remainder is 3. Also,

`(2x – 1)(x + 2) + 3 = 2x^2 + 3x – 2 + 3 = 2x^2 + 3x + 1`

i.e., `2x^2 + 3x + 1 = (x + 2)(2x – 1) + 3`

Therefore, Dividend = Divisor × Quotient + Remainder

Let us now extend this process to divide a polynomial by a quadratic polynomial.
Q 3129667511

Divide `3x^3 + x^2 + 2x + 5` by `1 + 2x + x^2`.
Class 10 Chapter 2 Example 7
Solution:

We first arrange the terms of the dividend and the divisor in the decreasing order
of their degrees. Recall that arranging the terms in this order is called writing the polynomials in
standard form. In this example, the dividend is already in standard form, and the divisor, in
standard form, is `x^2 + 2x + 1`.

Step 1 : To obtain the first term of the quotient, divide the highest degree term of the
dividend (i.e., `3x^3`) by the highest degree term of the divisor (i.e., `x^2`). This is `3x`. Then
carry out the division process. What remains is `– 5x^2 – x + 5`.

Step 2 : Now, to obtain the second term of the quotient, divide the highest degree term
of the new dividend (i.e., `–5x^2`) by the highest degree term of the divisor (i.e., `x^2`). This
gives –5. Again carry out the division process with `–5x^2 – x + 5`.

Step 3 : What remains is `9x + 10`. Now, the degree of `9x + 10` is less than the degree
of the divisor `x^2 + 2x + 1`. So, we cannot continue the division any further.
So, the quotient is` 3x – 5 `and the remainder is `9x + 10`. Also,

`(x^2 + 2x + 1) × (3x – 5) + (9x + 10) = 3x^3 + 6x^2 + 3x – 5x^2 – 10x – 5 + 9x + 10`

`= 3x^3 + x^2 + 2x + 5`

Here again, we see that

Dividend = Divisor × Quotient + Remainder

What we are applying here is an algorithm which is similar to Euclid’s division
algorithm that you studied in Chapter 1.

This says that
If p(x) and g(x) are any two polynomials with `g(x) ≠ 0`, then we can find
polynomials q(x) and r(x) such that

`p(x) = g(x) × q(x) + r(x)`,

where `r(x) = 0` or degree of `r(x) <` degree of `g(x)`.

This result is known as the Division Algorithm for polynomials.

Let us now take some examples to illustrate its use.
Q 3149667513

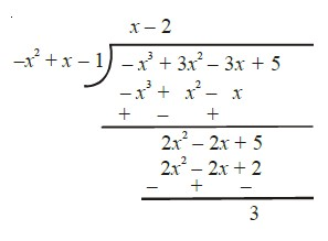
Divide `3x^2 – x^3 – 3x + 5` by `x – 1 – x^2`, and verify the division algorithm.
Class 10 Chapter 2 Example 8
Solution:

Note that the given polynomials are not in standard form. To carry out
division, we first write both the dividend and divisor in decreasing orders of their degrees.

So, dividend `= –x^3 + 3x^2 – 3x + 5 `and

divisor `= –x^2 + x – 1`.

Division process is shown on the right side.

We stop here since degree `(3) = 0 < 2 =` degree `(–x^2 + x – 1)`.

So, quotient `= x – 2`, remainder = 3.
Now,

Divisor × Quotient + Remainder

`= (–x^2 + x – 1) (x – 2) + 3`

`= –x^3 + x^2 – x + 2x^2 – 2x + 2 + 3`

`= –x^3 + 3x^2 – 3x + 5`

= Dividend

In this way, the division algorithm is verified.
Q 3159667514

Find all the zeroes of `2x^4 – 3x^3 – 3x^2 + 6x – 2`, if you know that two of
its zeroes are `sqrt 2` and ` - sqrt 2` .
Class 10 Chapter 2 Example 9
Solution:

Since two zeroes are `sqrt 2` and ` - sqrt 2 , (x- sqrt 2) ( x+ sqrt 2) = x^2 -2` is a

factor of the given polynomial. Now, we divide the given polynomial by `x^2 – 2`.


So, `2x^4 – 3x^3 – 3x^2 + 6x – 2 = (x^2 – 2)(2x^2 – 3x + 1)`.

Now, by splitting –3x, we factorise `2x^2 – 3x + 1 `as `(2x – 1)(x – 1)`. So, its zeroes

are given by `x = 1/2` and ` x =1` Therefore, the zeroes of the given polynomial are


`sqrt 2 , - sqrt 2 , 1/2 ` , and `1`

 
SiteLock