Let the parabola be `y^2 = 4ax` ....... (1)
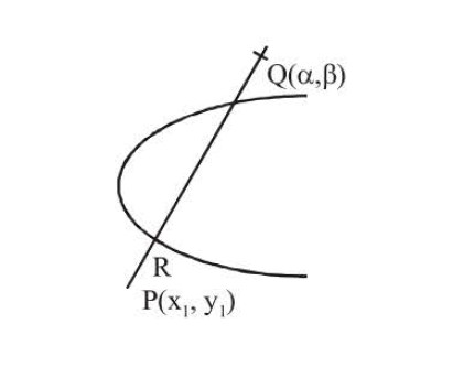
Let `P(x_1, y_1)` be a point outside the parabola.
Let a chord of the parabola through the point `P(x_1,y_1)` cut the parabola at `R` and let `Q (alpha, beta)` be an arbitrary point on line `PR`. Let `R` divide `PQ` in the ratio `lambda:1`,
then `R=((lambda alpha+x_1)/(lambda+1) ,(lambda beta+y_1)/(lambda+1))`.
Since `R` lies on parabola `(1)`, therefore,
`((lambda beta+y_1)/(lambda+1)^2-4a(lambda alpha+x_1)/(lambda+1))=0`
`(lambda beta+y_1)^2-4a(lambda alpha+x_1)(lambda+1)=0`
or `(beta^2-4a alpha)lambda^2+2[beta y_1-2a(alpha+x_1)] lambda+(y_1^2-4ax_1)=0`..............(2)
Line `PQ` will become tangent to parabola `(1)` if roots of equation `(2)` are equal or if
`4[beta y_1-2a(alpha+x_1)]^2=4(beta^2-4a alpha)(y_1^2-4ax_1)`
Hence, locus of `Q (alpha, beta)` i.e. equation of pair of tangents from `P(x_1y_1)` is
` (y^2 - 4ax)(y_1^2 - 4ax_1)=[yy_1 - 2a (x + x_1) ] ^2 `
`=> SS_1 =T^2`
where `S, S_1` and `T` have usual meanings.
The same result holds true for cicle, ellipse and hyperbola also.
Let the parabola be `y^2 = 4ax` ....... (1)
Let `P(x_1, y_1)` be a point outside the parabola.
Let a chord of the parabola through the point `P(x_1,y_1)` cut the parabola at `R` and let `Q (alpha, beta)` be an arbitrary point on line `PR`. Let `R` divide `PQ` in the ratio `lambda:1`,
then `R=((lambda alpha+x_1)/(lambda+1) ,(lambda beta+y_1)/(lambda+1))`.
Since `R` lies on parabola `(1)`, therefore,
`((lambda beta+y_1)/(lambda+1)^2-4a(lambda alpha+x_1)/(lambda+1))=0`
`(lambda beta+y_1)^2-4a(lambda alpha+x_1)(lambda+1)=0`
or `(beta^2-4a alpha)lambda^2+2[beta y_1-2a(alpha+x_1)] lambda+(y_1^2-4ax_1)=0`..............(2)
Line `PQ` will become tangent to parabola `(1)` if roots of equation `(2)` are equal or if
`4[beta y_1-2a(alpha+x_1)]^2=4(beta^2-4a alpha)(y_1^2-4ax_1)`
Hence, locus of `Q (alpha, beta)` i.e. equation of pair of tangents from `P(x_1y_1)` is
` (y^2 - 4ax)(y_1^2 - 4ax_1)=[yy_1 - 2a (x + x_1) ] ^2 `
`=> SS_1 =T^2`
where `S, S_1` and `T` have usual meanings.
The same result holds true for cicle, ellipse and hyperbola also.