Alkanes :

Alkanes (Paraffin): The compounds of carbon and hydrogen with the general formula `C_n H_(2n+2)` are called as alkanes. These are also known as saturated hydrocarbons or Paraffins.

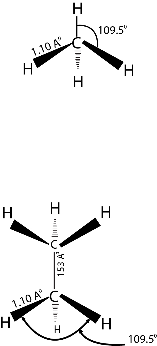
Structure and Reactivity: The simplest member of this fami ly is methane `(CH_4)` where the `C`-atom is `sp^3` hybridized, which are overlapping with the `s-`orbitals of `H-`atoms at the corner of regular tetrahedron.This structure is verified by electron
diffraction method.

The next higher member in the family is ethane `(C_2 H_6)`.

Here again each `C`-atom is `sp ^3`-hybridized with a bond angle of approximately `109.5^(o)`

If one consider a molecule of methane or ethane or any other alkane, we find that all these molecules are non polar and hence the operative interactive forces are Vander Waal's forces.

 
SiteLock