By Oxidation of Alcohols :

The oxidation of an alcohol involves the loss of one or more `alpha`-hydrogen atoms from the carbon bearing `-OH` group. The kind of product formed depends upon how many of these `alpha`-hydrogen atoms the alcohol contains. i.e. whether the alcohol is primary or secondary.

A primary alcohol (which has 2 `alpha`-hydrogens) can lose one of the hydrogen to form an aldehyde whereas secondary alcohol can lose its only `alpha` -hydrogen to form a ketone.

`RCH_2 OH underset(KMnO_4 text(Aqueous acidic)K_2Cr_2O_7)oversettext(Aqueous acidic)(->) RCHO + MnO_2` or `Cr^(3+)`

The reagents employed here are not highly selective since aldehyde can further be easily oxidised to carboxylic acids, so isolation of aldehydes in this reaction is troublesome. Thus, for the convenient and selective conversion of primary alcohol to aldehyde, pyridinium chlorochromate(PC C, `C_5H_5NH^+CrO_3Cl^-`) is used, which is formed by the reaction between chromic acid and pyridinium chloride.

`RCH_2OH underset[text(or) CrO_2 text(in glacial acidic acid or) CrO_3 text(in pyridine)]overset[C_2H_5overset(oplus)NHCrO_2overset(⊖)Cl(PC C)]-> RCHO +Cr^(3+)`

`R_2CHOH underset(text(or Aqueous acidic) K_2Cr_2O_7 text(or) CrO_2 text(in glacial acidic acid or) CrO_3 text(in pyridine))overset[text(Aqueous acidic) KMnO_4]-> R_2 C +MnO_2 `or `Cr^(3+)`

Secondary alcohols can also be oxidised by aluminium `t`- butoxide, `[(CH_3)_3CO]_3Al` in acetone. The reaction is called Oppenauer oxidation. In presence of `p` -benzoquinone solvent `1^o` alcohol can also be oxidised to aldehyde on distillation.

`R_2CHOH undersettext(in acetone)overset([(CH_3)_3CO]_3Al)-> R_2 CO + (CH_3 )_2 CHOH`

For example,

`CH_3CH_2CH_2OH underset(CH_2Cl_2)overset[PC C text(in)]-> CH_3CH_2CHO + Cr^(3+)`

See fig.

By Heating Calcium Salt of Carboxylic Acid :

When calcium salt of formic acid is dry distilled, formaldehyde is obtained. If a mixture of calcium salt of formic acid and any of its higher homologues is used, then aldehydes other than formaldehyde are obtained while when only calcium salt of monocarboxylic acid (other than formic acid) is dry distilled, the product obtained is a ketone.

`(HCO_2)_2Ca oversettext(Dry distillation)-> HCHO + CaCO_3`

`(HCO_2)_2Ca + (RCO_2)_2Ca oversettext(Dry distillation)-> 2RCHO + CaCO_3 + RCOR + HCHO`

`(RCO_2)_2Ca oversettext(Dry distillation)-> R_2CO + CaCO_3`

If a mixture of calcium salts of acids is used, mixed ketones along with simple ketones are obtained.

`(RCO_2)_2Ca + (R'CO_2)_2Ca oversettext(Dry distillation)-> RCOR' + R_2CO +R'_2CO + CaCO_3`

Reduction of Acid Chloride :

Acid chlorides can be reduced to aldehydes, only by the use of a bulky hydride reducing agent, tri-`t`- butoxy lithium aluminium hydride. If `LiAlH_4` is used as a reducing agent, the product isolated is an alcohol and not an aldehyde.

`R- COCl` or `Ar- COCl overset[LiAlH(OBu-t)_3] -> R - CHO` or `Ar - CHO`

Acid chlorides can also be reduced to aldehydes by `H_2` gas in the presence of `Pd` supported on `BaSO_4` in xylene, poisoned with quinoline and sulphur. This reaction is called Rosenmund's reduction, which is applicable for the preparation of aliphatic as well as aromatic aldehydes.

`R - COCl` or `Ar - COCl undersettext(poisoned with quinoline & S)overset(H_2//Pd-BaSO_4)-> R-CHO` or `AR-CHO + HCl`

Acid chlorides on reaction with lithium organocuprates, `R_2CuLi` or `Ar_2CuLi` yields ketones.

Here, the `R` part of organocopper compound acts as nucleophile and displaces `Cl` of acid chloride to undergo nucleophilic substitution.

`RX` or `ArX underset(-LiX)overset(2Li)-> R Li` or `ArLi underset(-LiX)overset(CuX)-> R_2CuLi` or `Ar_2CuLi`

`R'_2CuLi + 2RCOCl -> 2RCOR + CuCl + LiCl`

Grignard reagents can also react with acid chlorides, but the product is tertiary alcohols because the ketone produced reacts with additional `RMgX`. This shows that organocopper reagents are less reactive than Grignard reagents towards the carbonyl group of ketones and the reaction stops at the ketone formation stage.

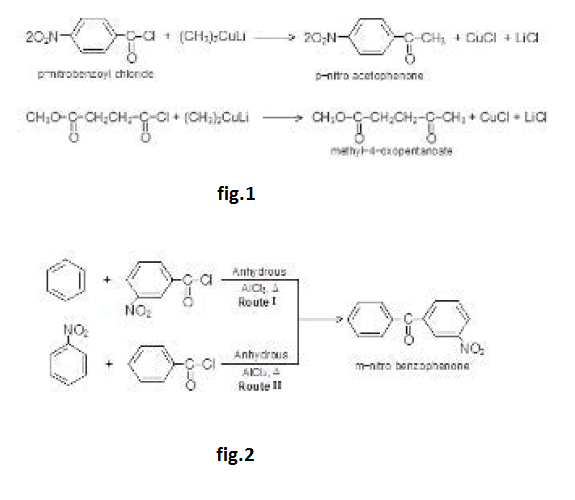
This low reactivity of organocopper compounds is useful in the light that it do not react with the functional groups with which organomagnesium and organolithium reagents react. Thus, the presence of some functional groups (like `- NO_2, - CN, - CO - , -CO_2R` etc.) does not interfere with the synthesis of ketones.

For example, given in Fig.1.

Aromatic ketones can be synthesized using acid chlorides and benzene via Friedel-Crafts acylation.

`Ar-H+ R-underset (underset O (||)) (C)-Cl underset(AlCl_3 Delta)oversettext(Anhydrous)-> Ar - underset (underset O (||)) (C)-R +HCl`

For example given in Fig.2.

There seems to be two possible routes to get `m`-nitro benzophenone using Friedel - Crafts acylation. Route II is not feasible because nitrobenzene does not participate in Friedel - Crafts reaction, as - `NO_2` is a strongly deactivating group. Thus, route I is the only feasible pathway to get `m`-nitrobenzophenone.

By Oxidation of Methyl Benzenes :

Methyl benzene on treatment with either `Cl_2` in presence of ultraviolet light or `CrO_3` in acetic anhydride gives `Ar - CHCl_2` or `Ar - CH(OOCH_3)_2-` Both these compounds on decomposition with water gives benzaldehyde. See fig.1.

Overall reaction is the oxidation of methyl benzene to benzaldehyde. Oxidation of methyl benzene to benzaldehyde by `CrO_3` in acetic anhydride is a better route than chlorination because the gem diacetate formed is not further oxidisable while `ArCHCl_2` can further chlorinate to give `ArC Cl_3`, which on hydrolysis finally gives `ArCO_2H.`

For example, See fig.2.

Stephen's Reduction :

An alkyl or aryl cyanide dissolved in ether is reduced with stannous chloride and `HCl` to give aliphatic or aromatic aldehydes. The reaction proceeds by the formation of aldimine hydrochloride (present as stannichloride), which are not stable and hydrolyse to give aldehydes.

`RC equiv N overset(HCl)-> [RC equiv NH]^(+)Cl^(-) overset(SnCl_2 + HCl)-> [RCN = NH_2]_2^(+)SnCl_6^(2-) overset(H_2O)-> RCHO + NH_3`

Acylation of Alkenes :

See fig.

In this reaction, alkenes act as nucleophiles and cause nucleophilic substitution of `Cl` of `RCOCl` to give `alpha`, `beta`-unsaturated ketone.

Ring Ketones from Dicarboxylic acids :

When the calcium, barium or thorium salts of the carboxylic acids are distilled, cyclic ketones (cycloalkanones) are produced. See fig.1.

When the 'n' value is 4, the product is cyclopentanone and when it is 5, the product is cyclohexanone.

Also, when dicarboxylic acids are heated with acetic anhydride and then distilled at `300^oC`, cyclic anhydrides or cyclic ketones are formed depending on the relative positions of two carboxyl groups. See fig.2.

[`n` can be 2 or 3 i.e. the acid is 1, 4 or 1, 5-dicarboxylic acid].

See fig.3.

[`n` can be 4 or 5 i.e. the acid is 1, 6 or 1, 7-dicarboxylic acid].

By Ozonolysis :

Aldehydes can be prepared by the ozonolysis of alkenes of the type `R-CH=CH-R` in presence of `Zn` (reductive ozonolysis). See fig.1.

Ketones can also be prepared by the ozonolysis of alkenes of the type `R_2C=CR_2`. See fig.2.

This oxidation of alkenes can also be achieved by Lemieux reagent, which is an aqueous solution of sodium periodate and a trace of potassium permanganate.

From Alkynes :

Acetylene gas when passed into hot dilute sulphuric acid in the presence of mercuric sulphate as catalyst, is converted into acetaldehyde. See fig.1.

Homologues of acetylene form ketones when hydrated. For example, propyne gives acetone.

`CH_3-C equiv CH +H_2O underset(Hg^(2+))overset(H_2SO_4)-> [CH_3C(OH) = CH_2] -> CH_3COCH_3`

See fig.2.

Acetoacetic Ester Synthesis :

This synthesis is used for preparing ketones only and is based on the fact that active methylene group (which is sandwiched between two strongly electron withdrawing groups) have more acidic hydrogen than other `alpha` hydrogens. See fig.

In the last step, `beta`-keto acid undergoes ready decarboxylation even on slightest warming to form ketones.

Synthesis of Ketones and Aldehydes Using 1,3- Dithianes :

1,3-Dithiane is a weak proton acid (`pK_a = 32`) that can be deprotonated by strong bases such as n-butyllithium. The resulting carbanion is stabilized by the electron withdrawing effect of two highly polarizable sulphur atoms. See fig.1.

Alkylation of the dithiane anion by a primary alkyl halide or tosylate gives a thioacetal (sulphur acetal) that can be hydrolysed using an acidic solution of mercuric chloride. The product is an alkehyde bearing the alkyl group that was added by the alkylating agent. This is a useful synthesis of aldehydes primary alkyl group. See fig.2.


 
SiteLock