Alkylation of Ammonia :

Alkyl halildes undergo nucleophilic substitution reaction by `S_N 2` mechanism with `NH_3` forming primary amines.

The reaction does not stop at this stage. Primary amine being more basic than ammonia further reacts with alkyl halide forming secondary amine (`2^(o)`), tertiary amine (`3^(o)`) and eventually quaternary ammonium salt, if the alkyl halide is present in excess.

We can make primary amine as the major product by carrying out the reaction with liquid ammonia. The reaction between ethyl bromide and ammonia proceeds by the following mechanism:

Alkylation of Azide Ion and Reduction :

A much better method for preparing a primary amine from an alkyl halide is first to convert the alkyl halide to an alkyl azide (`RN_3`) by a nucleophilic substitution reaction with sodium azide (`NaN_3`).

The alkyl azide is then reduced to a primary amine with `Na//C_2H_5O H` or `LiAlH_4`

Reduction of Nitro Compounds :

Aliphatic primary amines can be synthesised by reducing nitroalkanes with metal and acid or with `H_2` in presence of nickel as a catalyst.

`R-NO_2+3H_2 overset(Ni)-> R-NH_2+2H_2O`

`R-NO_2 overset(Sn//HCl)-> R-overset(+)NH_2 overset(Base)-> R-NH_2`

For example,

`undersettext(2-nitro ethanol)(O_2N-CH_2CH_2-OH) overset(Ni//H_2)-> undersettext(2-amino ethanol)(H_2N-CH_2CH_2-OH)`

Primary aromatic amines are also prepared by the reduction of corresponding nitro compounds.

Other reducing agents such as `LiAlH_4` and `H_2//Pt` also reduce nitrobenzene to aniline.

Reduction in neutral medium :

a.) With `Fe` and steam, a nitro group gets reduced to nitroso group.

`C_6H_5-NO_2-> C_6H_5-NO`

b.) `Zn//NH_4Cl//H_2O` or `Zn//CaCl_2//H_2O` reduces nitro group to hydroxylamine.

`C_6H_5-NO_2 overset(Zn//NH_4Cl//H_2O) underset(50^(o)C)-> C_6H_5-NHOH`

Reduction in alkaline medium :

Nitro benzene when reduced with `Zn//NaOH//C_2H_5OH` gives hydroazobenzene.

`2C_6H_5-NO_2 overset(Zn//NaOH//C_2H_5OH)-> C_6H_5-NH-NH-C_6H_5`

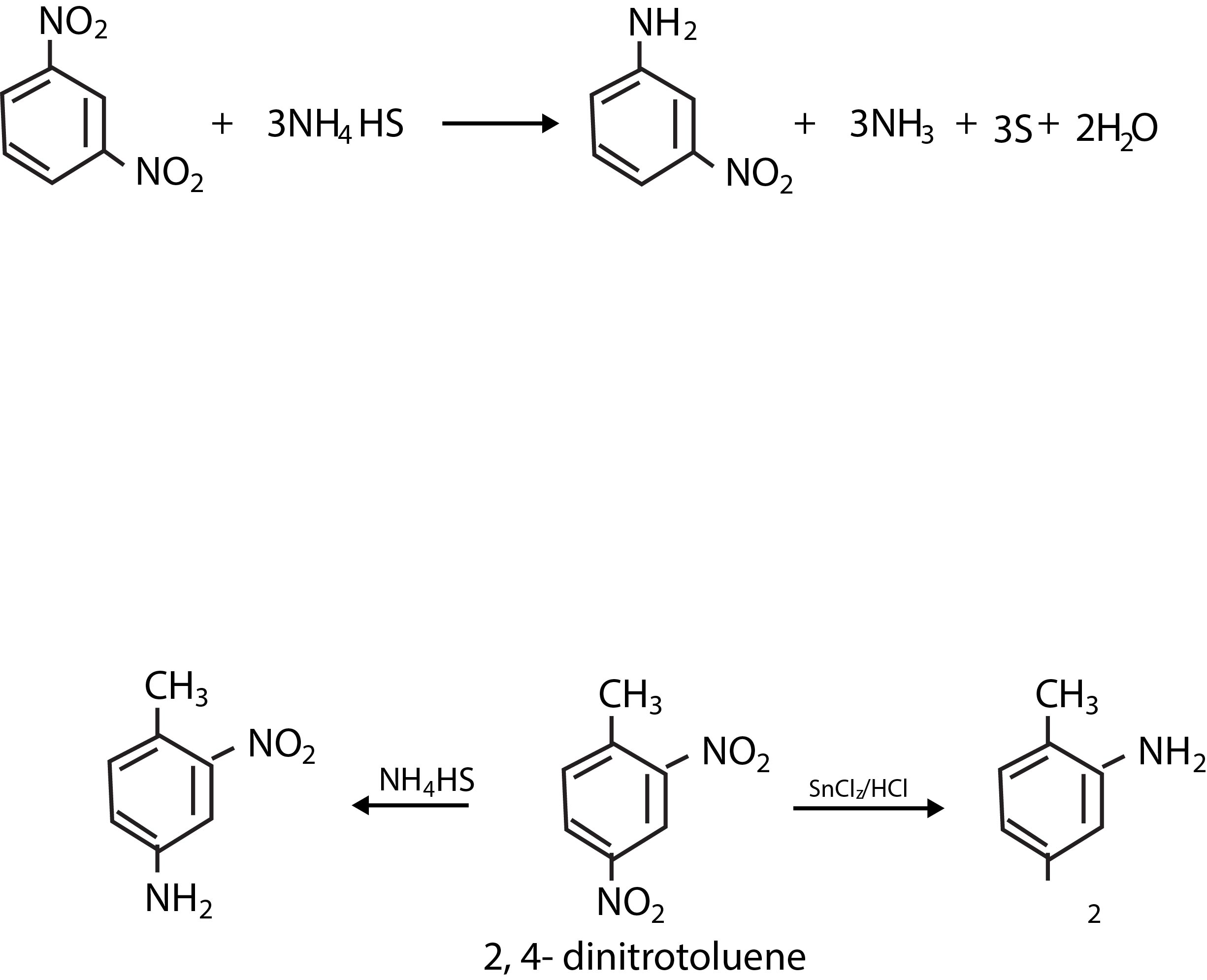
By means of aqueous ethanolic `NH_4HS`, aqueous `Na_2S` or `SnCl_2` in `HCl`, nitro groups in a polynitro compound can be reduced one at a time. For example, m-dinitrobenzene can be reduced to m-nitroaniline

It is not always possible to predict that which nitro group will be reduced first. For instance, `2, 4`- dinitrotoluene when treated with `NH_4HS`, the `4` - nitro group is reduced whereas treatment with `SnCl_2//HCl` results in the reduction of `2`- nitro group.

Reduction of Nitriles, Isonitriles And Oximes :

Both aliphatic and aromatic amines can be synthesised by reduction of cyanides (or nitriles), isocyanides (or isonitriles) and oximes by `H_2` in the presence of a catalyst or `LiAlH_4`.

For example-(fig-1)

Cyanides and oximes on reduction gives `1^(o)` amines while isocyanide on reduction gives `2^(o)` amines.

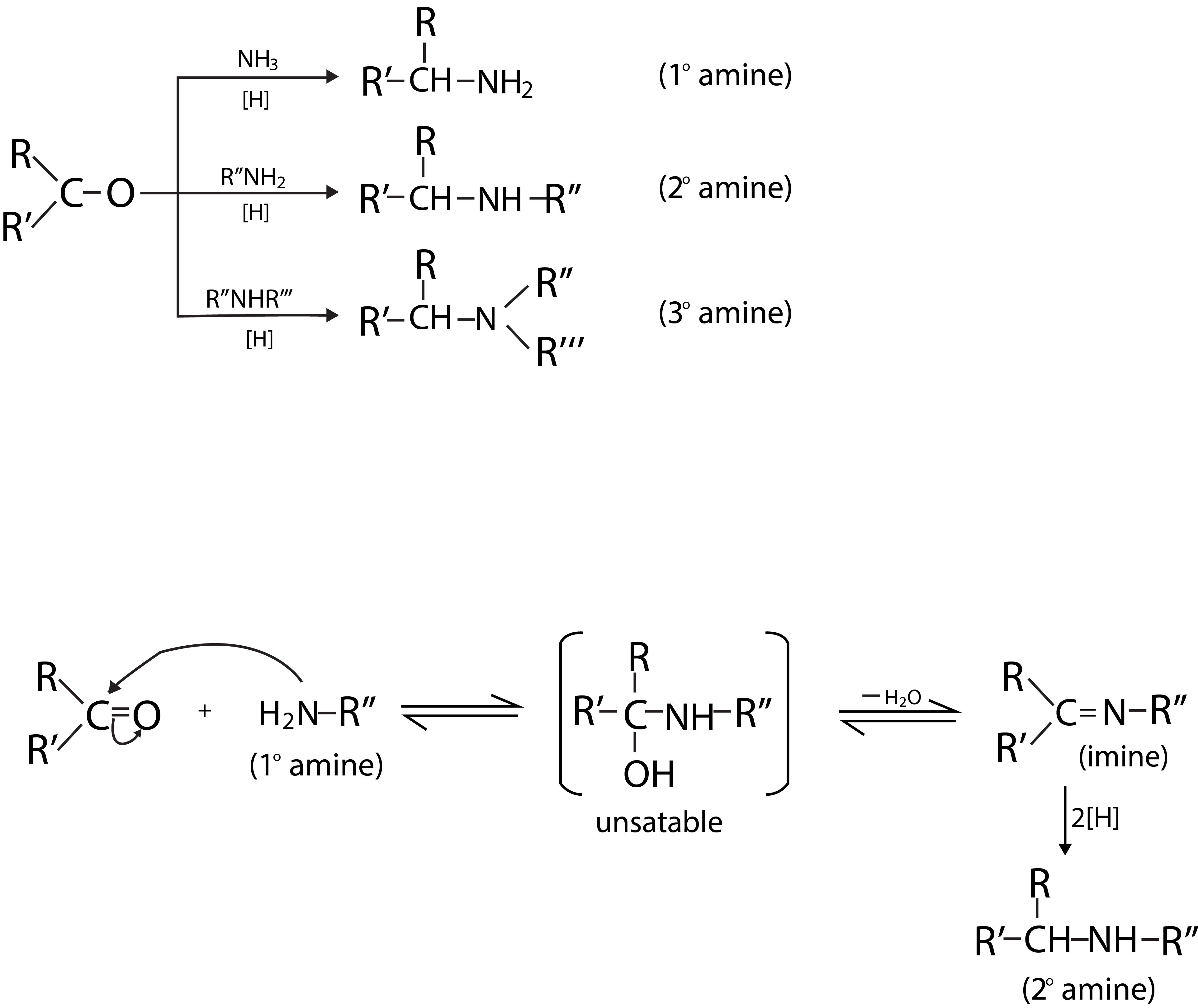
Reductive Amination of Carbonyl Compound :

Aldehydes and ketones are converted to amines through catalytic or chemical reduction in the presence of ammonia or amine. Primary, secondary and tertiary amines can be prepared by this method. (`R` may be hydrogen or an alkyl group)

The given process appears to proceed through the following mechanism.

From Amides :

Amides with or without any substituent on the nitrogen can be reduced with `LiAlH_4` to the corresponding amines having same number of carbon atoms. For example: see the fig.

 
SiteLock