Gabriel Phthalimide Synthesis :

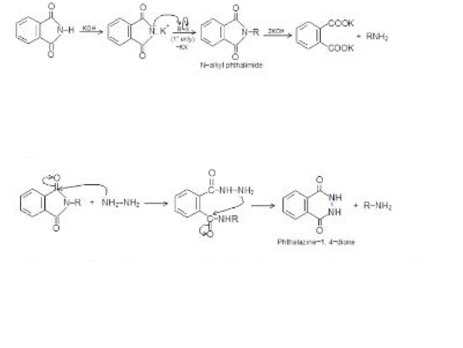
Another method used for the preparation of primary aliphatic amines only is the Gabriel Phthalimide synthesis. Phthalimide (`pk_a = 9`) is quite acidic in nature. It can be converted to potassium phthalimide by its reaction with `KOH`. The phthalimide anion is a strong nucleophile. It reacts with alkyl halide, preferably methyl halide and primary alkyl halide only, by an `S_N 2` mechanism to give `N`- alkylphthalimide. The secondary and tertiary alkyl halides are not employed because they undergo elimination reactions also. The `N`- alkyl phthalimide is hydrolysed with dilute `HCl` or `KOH` solution to give primary aliphatic amine.
`N`- alkylphthalimide can also be converted to primary amine and phthalazine -`1, 4`- dione by treating it with hydrazine. This method is not suitable for preparing aromatic primary amines as aryl halides are not good substrates for nucleophilic substitution.

 
SiteLock