Classification Based on Intermolecular Forces (Secondary Forces) :

(i) Intermolecular forces present between polymeric chains are

(a) Van der Waals forces

(b) Hydrogen bonds and

(c) Dipole- dipole attractions.

(ii) Mechanical properties such as tensile strength, elasticity, toughness etc. depend upon the secondary forces present between the polymeric chains.

(iii) Magnitude of secondary forces depends upon the size of the molecule and the number of functional groups along the polymeric chains.

Magnitude of secondary forces is directly proportional to the length of the polymeric chain. On the basis of magnitude of secondary forces, polymers can be divided into the following five categories :

(a) `text(Elastomers :)` An elastomer is a plastic that stretches and then reverts back to its original shape. It is randomly oriented amorphous polymer. It must have some cross-links so that the chains do not slip over one another. Very weak Van der Waal forces are present in between polymeric chains.

When elastomers are stretched, the random chains stretch out, but there are insufficient Van der Waal forces to maintain them in that configuration and position. When the stretching force is removed, they go back to their random shape. Elastomers have the ability to stretch out over ten times their normal length. Important examples are vulcanized rubbers.

`text(Note :)` Addition polymers obtained from butadiene and its derivatives are elastomers.

(b) `text(Fibres :)` Fibres are linear polymers in which the individual chains of a polymer are held together by hydrogen bonds and/or dipole-dipole attraction. In the fibres, the polymeric chains are highly ordered with respect to one another.

Due to strong intermolecular forces of attraction and highly ordered geometry, fibres have high tensile strength and least elasticity. They have crystalline character and have high melting points and low solubility. Examples are cellulose, nylon, terylene, wool, silk etc.

`text(Note :)`

(i) Condensation polymers formed from bifunctional monomers are fibres in character.

(ii) Addition polymers of alkene derivatives having strong-I group are fibres in character.

(c) `text(Thermoplastic Polymers :)` Thermoplastic polymers are polymers that have both ordered crystalline regions (the regions of the polymer in which the chains are highly ordered with respect to one another) and amorphous, non-crystalline regions (the regions of the polymer in which the chains are randomly oriented).

The intermolecular forces of attraction are in between elastomers and fibres. There are no cross-links between the polymeric chains. Thermoplastic polymers are hard at room temperature, but when they are heated, the individual chains can slip past one another and the polymer become soft and viscus. This soft and viscous material become rigid on cooling. The process of heating, softening and cooling can be repeated as many times as desired without any change in chemical composition and mechanical properties of the plastic. As a result, these plastics can be moulded into toys, buckets, telephone and television cases. Some common examples are : polyethene, polypropylene, polystyrene, polyvinyl chloride, teflon etc.

`text(Note :)` Addition polymers obtained from ethylene and ethylene derivatives are thermoplastic polymers.

(d) `text(Thermosetting Polymers :)` Polymers which become hard on heating are called thermosetting polymers. Thermosetting polymers can be heated only once when it permanently sets into a solid, which cannot be remelted by heating. Thermosetting polymers are cross-linked polymers. Greater the degree of cross-linking that exist, the more rigid is the polymer. Cross-linking reduces the mobility of the polymer chains, causing them to be relatively brittle materials. The hardening on heating is due to the extensive cross-linking between different polymer chains to give a three dimensional network solid. Examples are : phenol formaldehyde resin, urea-formaldehyde resin, melamine-formaldehyde resin.

See Table.

Rubber :

(a) `text(Natural Rubber :)` Natural rubber is obtained from nearly five hundred different plants but the main source is a braziliensis tree. It is obtained in the form of milky sap known as latex. This latex is coagulated with acetic acid and formic acid. The coagulated mass is then squeezed.

The raw natural rubber is a soft gummy and sticky mass. It is insoluble in water, dilute acids and alkalies but soluble in non-polar solvents. It has low elasticity and low tensile strength. Natural rubber is a polymer of `2`-methyl-`1`, `3`-butadiene (isoprene). On average, a molecule of rubber contains `5000` isoprene units held together by head to tail. All the double bonds in rubber are cis, hence natural rubber is cis-polyisoprene. See fig.1.

Gutta- percha is a naturally occurring isomer of rubber in which all the double bonds are trans. Thus, gutta-percha is trans-polyisoprene. See fig.2.

It is harder and more brittle than rubber. It is the filling material that dentists use in root canal treatment. In order to give strength and elasticity to natural rubber, it is vulcanized. Heating of rubber with sulphur or sulphur containing compound at `150^oC` for few hours is known as vulcanisation. The essential feature of the vulcanisation is the formation of cross-linking between the polymeric chains. This cross-linking gives mechanical strength to the rubber. Vulcanisation process can be enhanced in the presence of certain organic compounds known as accelerators. The common accelerators are : See fig.3.

In addition, fillers such as carbon black and zinc oxide are usually added to the crude rubber before vulcanisation in order to improve its wearing characteristics. Natural rubber is used for making shoes, water- proof coats and golfballs. Vulcanised rubber is used for manufacture of rubber bands, gloves tubing and car tyres.

Synthetic Rubber or Polymerisation of Dienes :

Polymers of `1`, `3`- butadienes are called synthetic rubbers because they have some of the properties of natural rubbers including the fact that they are water proof and elastic. Synthetic rubbers have some improved properties. They are more flexible, tougher and more durable than natural rubber.

(a) `text(Homopolymers :)` Monomer of this class is `2`-substituted-`1`, `3`- butadienes. See fig.1.

Polymerisation is always carried out in the presence of Zieglar-Natta catalyst which gives stereo regular polymers. See fig.2.

Neoprene was the first synthetic rubber manufactured on large scale. It is also called dieprene. lts monomer, chloroprene (`2` chlorobutadiene) is prepared from acetylene. See fig.3.

Cloroprene undergoes free radical polymerisation to form neoprene (polychloroprene). See fig.4.

Many of the properties of neoprene are similar to natural rubber but neoprene is more resistant to action of oils, gasoline and other hydrocarbons. It is also resistant to sunlight, oxygen, ozone and heat. It is non- inflammable. It is used for making automobile and refrigerator parts, hoses for petrol and oil containers, insulation of electric wires and conveyor belts.

(b) `text(Copolymers :)` The following synthetic rubbers are example of copolymers : See Table.

(i) `text(Thiokol :)` Thiokol is made by polymerising ethylene chloride and sodium polysulphide. See fig.5.

The repeating unit is `-CH_2- S- S-CH_2 -`. Thiokol is chemically resistant polymer. It is used in the manufacture of hoses and tank linings, engine gaskets and rocket fuel when mixed with oxidising agents.

(ii) `text[Buna-S (SBR : Styrene-butadiene rubber) :]` Buna-S rubber is a copolymer of three moles of butadiene and one mole of styrene. In Buna-S, 'Bu' stands for butadiene, 'na' for symbol of sodium (`Na`) which is a polymerizing agent and 'S' stands for styrene. It is an elastomer (General purpose styrene Rubber or GRS). See fig.6.

Buna-S is generally compounded with carbon black and vulcanised with sulpur. It is extremely resistant to wear and tear and therefore used in the manufacture of tyres and other mechanical rubber goods. It is obtained as a result of free radical copolymerisarion of its monomers.

(iii) `text(Buna-N :)` It is obtained by copolymerisation of butadiene and acrylonitirile (General purpose Rubber acrylonitirle or GRA). See fig.7.

It is very rigid and is very resistant to action of petrol, lubricating oil and many organic solvents. It is mainly used for making fuel tanks.

(iv) `text(Cold Rubber :)` Cold rubber is obtained by polymerisation of butadiene and styrene at `-18^oC` to `5^oC` temperature in the presence of redox system. Cold rubber has a greater tensile strength and greater resistance to abrasion than SBR.

Nylon :

Nylon is used as a general name for all synthetic fibres forming polyamides, i.e., having a protein like structure. A number is usually suffixed with the name 'nylon' which refers to the number of carbon atoms present in the monomers.

(a) `text[Nylon-6, 6 (Nylon six, six)]` : It is obtained by the condensation polymerisation of hexamethylenediamine (a diamine with six carbon atoms) and adipic acid (a dibasic acid having `6` carbon atoms).

`undersettext(adipic acid)[nHOOC(CH_2)_4COOH] + undersettext(Hexamethylene diamine)[nH_2N(CH_2)_6NH_2] underset[text(High pressure) -(n-1)H_2O]overset(280^oC)->undersettext(Nylon-6, 6)([-OC(CH_2)_4CONH(CH_2)_6NH-]_n)`

(b) `text(Nylon-6, 10)` (Nylon six, ten) : It is obtained by condensation polymerisation of hexamethylenediamine (six carbon atoms) and sebacic acid (a dibasic acid with 10 carbon atoms.)

Nylon fibres are stronger than natural fibres and so are used in making cords and ropes. The fibres are elastic, light, very strong and flexible. They have drip dry property and retain creases. It is inert towards chemicals and biological agents. It can be blended with wool. Nylon fibres are used in making garments, carpets, fabrics, tyre cords, ropes, etc.

(c) `text[Nylon-6 (Prlon-L)]` : A polyamide closely related to nylon is known as perlon L (Germany) or Nylon- 6 (USA). It is prepared by prolonged heating of caprolactum at `260-270^oC`. It is formed by self condensation of a large number of molecules of amino caproic acid. Since, caprolactum is more easily available, it is used for polymerization, which is carried out in the presence of `H_2O` that first hydrolyses the lactam to amino acid. Subsequently, the amino acid can react with the lactam and the process goes on and on to form the polyamide polymer.

Carpolactam is obtained by Hackmann rearrangement of cyclohexanone oxime. See fig.

(d) `text(Nylon-2-Nylon-6)` : It is in alternating polyamide copolymer of glycine and amino caproic acid and is biodegradable.

Polyethylene :

Polyethylene is of two types :

`(a)` `text[Low Density Poly Ethylene (LDPE) :]` It is manufactured by heating ethylene at `200^oC` under a pressure of `1500` atmospheres and in the presence of traces of oxygen. This polymerisation is a free radical polymerisation.

`nCH_2 = CH_2 underset(1500 atm.)overset(200^oC)-> [-CH_2-CH_2-]_n`

The polyethylene produced has a molecular mass of about `20,000` and has a branched structure. Due to this, polyethylene has a low density (`0.92`) and low melting point(`110^oC`). That is why polyethylene prepared by free radical polymerisation is called low density polyethylene. It is a transparent polymer of moderate tensile strength and high toughness. lt is widely used as a packing material and as insulation for electrical wires and cables.

`(b)` `text[High Density Poly Ethylene (HDPE) :]` It is prepared by the use of Zieglar- Natta catalyst at `160^oC` under pressure of `6` to `7` atmosphere.

The polymer is linear chain, hence it has high density (`0.97`) and has high melting point (`130^oC`). That is why it is called high density polyethylene. It is a translucent polymer. It has greater toughness, hardness and tensile strength than low density polyethylene. It is used in the manufacture of containers (buckets, tubes), house wares, bottles and toys.


Plasticiser :

A plasticiser is an organic compound that dissolves in the polymer and allows the polymer chains to slide past one another. This makes polymer more flexible. Dibutylphthalate is a commonly used plasticiser. See fig.

Melamine-Formaldehyde Resin :

This resin is formed by condensation polymerisation of melamine and fonnaldehyde. See fig.

It is a quite hard polymer and is used widely for making plastic crockery under the name melamine. The articles made from this polymer do not break even when dropped from considerable height.

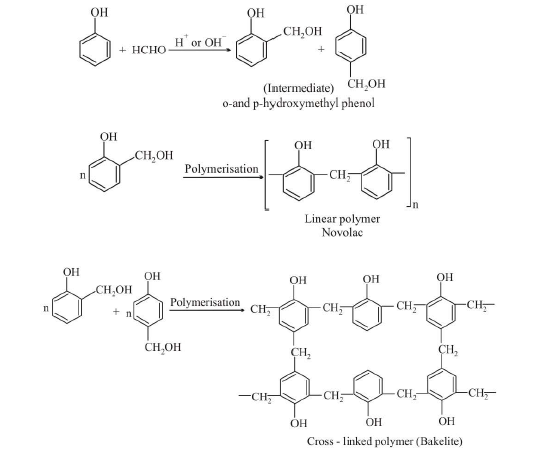
Bakelite :

Phenol-formaldehyde resins are obtained by the reaction of phenol and formaldehyde in the presence of either an acid or a basic catalyst. The reaction starts with the initial formation of ortho and para hydroxymethyl phenol derivatives, which further react with phenol to form compounds where rings are joined to each other with `-CH_2-` groups. The reaction involves the formation of methylene bridges in ortho, para or both ortho and para positions. Linear or cross-linked materials are obtained depending on the conditions of the reaction. See fig.

Polyesters :

Dacron is a common polyester, prepared using ethylene glycol and terephthalic acid. The reaction is carried out at `140^oC` to `180^oC` in the presence of zinc acetate and `Sb_2O_3` as catalyst. See fig.

The terylene fibre (Dacron) is crease resistant and has low moisture absorption. It has high tensile strength. It is mainly used in making wash and wear garments, in blending with wood to provide better crease and wrinkle resistance.



 
SiteLock