Maxima-Mininma

(A) General Introduction :

The notion of optimising functions is one of the most useful application of calculus used in almost every sphere of life including geometry, business, trade, industries, economics, medicines and even at home. In this chapter we shall see how calculus defines the notion of maxima and minima and distinguishes it from the greatest and least value or global maxima and global minima of a function.

(B) Defenition Maxima & Minima :

A function `f(x)` is said to have a maximum at `x = a` if
`f(a)` is greater than every other value assumed by `f
(x)` in the immediate neighbourhood of `x = a`.
Symbolically

`tt( (f(a) > f(a+h)), (f(a) > f(a-h)) )]` `=> x =a` gives maxima

for a sufficiently small positive `h`.

Similarly, a function `f(x)` is said to have a minimum value at `x = b` if `f (b)` is least than every other value
assumed by `f(x)` in the immediate neighbourhood at `x = b`. Symbolically if

`tt( (f(b) < f(b+h)), (f(b) < f(b-h)) )]` `=> x =b` gives maxima

Note that:
(i) the maximum & minimum values of a function are also known as local/relative maxima or local/relative minima as these are the greatest & least values of the function relative to some neighbourhood of the point in question.

(ii) the term 'extremum' or (extremal) or 'turning value' is used both for maximum or a minimum value.

(iii) a maximum (minimum) value of a function may not be the greatest (least) value in a finite interval.

(iv) a function can have several maximum & minimun values & a minimum value may even be greater than a maximum value.

(v) maximum & minimum values of a continuous function occur alternately & between two consecutive maximum values there is a minimum value & vice versa.

Tests for local maximum/minimum. when `f(x)` is differentiable :

(1) First-order derivative test in Ascertaining the maxima or minima :

Consider the interval `(a - h, a)`, we find `f(x)` is increasing `=> dy/dx > 0` .Similarly, for the interval `(a, a - h)`,
we find `f(x)` is decreasing `=> dy/dx <0` .Hence, at the point `x = a` (maxima); `dy/dx =0`
Similarly, `dy/dx =0` at `x=b` which is the point of minima.
Hence `dy/dx =0` is the necessary condition for maxima or minima.

These points, where `dy/dx` vanishes, are known as stationary points as instantaneous rate of change of function momentarily ceases at this point

Hence, if `tt( (f'(a-h > 0)) ,(f'(a+h) <0))]` `=>x =a` is a point of local maxima, where `f'(a) =0` .It means that `f'(x)` should change its sign from positive to negative.


Similarly , `tt( (f'(b-h < 0)) ,(f'(a+h) <0))]` `=>x =b` is a point of local maxima, where `f'(b) =0` .It means that `f'(x) ` should change its sign from negative to positive.

However, if `f '(x)` does not change sign, i.e., has the same sign in a certain complete neighbourhood of `c`, then `f(x)` is either increasing or decreasing throughout this neighbourhood implying that `f( c)` is not an extreme value of `f`, e.g. , `f(x) = x^3` at `x = 0`.

Use of second order derivative in ascertaining the Maxima or Minima for a differentiable function:

As shown in the figure it is clear that as `x` increases from `a - h` to `a+ h`, the function `dy/dx` continuously decreases, i.e. `(+)` ve for `x < a`, zero at `x = a` and `(- )` ve for `x > a`. Hence `dy/dx` itself is a decreasing function. Therefore `d^2y/dx^2 < 0` in `(a-h, a+h)`

Hence at local maxima , `dy/dx =0` and `d^2y/dx^2 <0`

`f' (a) = 0` and `f"(a) < 0`

Similarly at local minima, `dy/dx =0` and `d^2y/dx^2 > 0`

Hence if
(a) `f(a)` is a maximum value of the function `f` then `f' (a) = 0` & `f "(a) < 0`.
(b) `f(b)` is a minimum value of the function `f`, if `f ' (b) = 0` & `f "(b) > 0`.
However, if `f" (c) = 0` then the test fails. In this case `f` can still have a maxima or minima or point of inflection (neither maxima nor minima). In this case revert back to the first order derivative check for ascertaning the maxima or minima.

`n` th Derivative Test :

It is nothing but the general version of the second derivative test. It says that if `f'(a) = f"(a) = f"(a) = ..... f^n (a) = 0` and `f^(n+1)(a) ne 0` (all derivatives of the function up to order n vanish and `(n + 1 )`th order derivative does not vanish at `x = a)` , then `f(x)` would have a local maximum or minimum at `x =a` iff `n` is odd natural number and that `x = a` would be a pointoflocal maxima if `f^(n+1)(a) < 0` and would be a point oflocal minima if `f^( n+1) (a) > 0`. However, ifn is even, then fhas neither a maxima nor a minima at `x = a`.

When `F(x)` is not differentiable at `x =a` :

Case-1 :
When `f(x)` is continuous at `x = a` and `f'(a - h)` and `f '(a + h)` exist and are non-zero, then `f(x)` has a local maximum or minimum at `x =a` if `f'(a - h)` and `f'(a + h)` are of opposite signs.
If `f'(a - h) > 0` and `f '(a + h) < 0`, then `x = a` will be a point oflocal maximum.
If `f '(a - h) < O` and `f'(a + h) > O`, then `x = a` will be a point of local minimum.

Case-II :
When `f(x)` is continuous and `f'(a - h)` and `f'(a + h)` exist but one of them is zero, we should infer the information about the existence of local maxima/minima from the basic defmition oflocal maxima/minima.

Case-III:
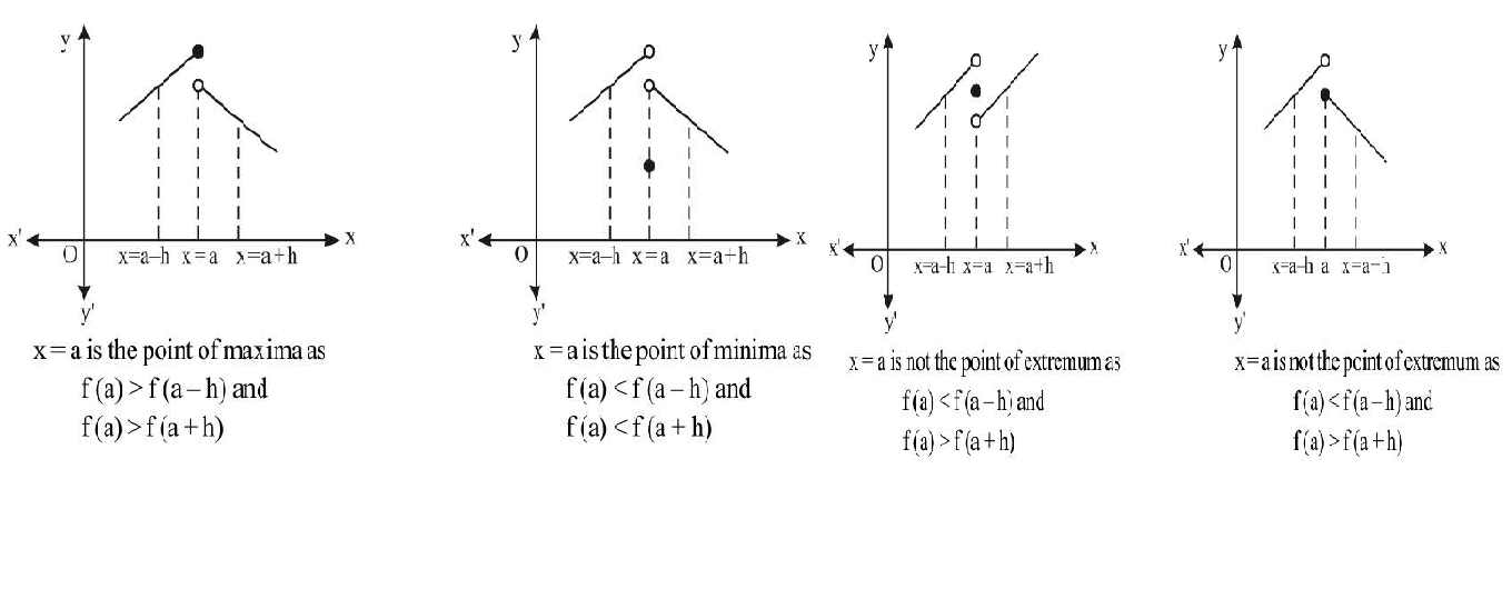
If `f(x)` is not continuous at `x = a` and `f'(a - h)` and/or `f'(a + h)` are not finite, then compare the values of `f(x)` at the neighbouring points of `x = a`. It is advisable to draw the graph of the function in the vicinity of the point `x = a`, because the graph would give us the clear picture about the existence of local maximalminima at `x = a`.
Consider the following cases in fig.

Concept of global maximum/minimum :

Let `y = f(x)` be a given function with domain `D`. Let `[a, b] = D`. Global maximum / minimum of `f(x)` in `[a, b]`. Global maximum and minimum in `[a, b]` would occur at critical point `f(x)` within `[a, b]` or at the endpoints of the interval.

Global maximum/minimum in `[a, b]` :

In order to find the global maximum and minimum of `f(x)` in `[a, b]`, fmd the critical points of `f(x)` in `(a, b)`. Let `c _1, c_2, ..... , C_n` be the different critical points. Find the value of the function at these critical points. Let `f(c_1), f(c_2), ...... , f(c_n)` be the values of the function at critical points. Say, `M_1 = max {f(a), f(c _1) , f(c_ 2) , ......... ,f(c_n) , f(b)}` and `M_2 = min {f(a), f(c_ 1) , f(c _2) , ...... , f(c_n), f(b)}` .Then `M_1` is the greatest value of `f(x)` in `[a, b]` and `M_2` is the least value of `f(x)` in `[a, b]`.

Problems Based On Mensuration Ans Geometry :

Summary-Working Rule :

(1) When possible, draw a figure to illustrate the problem & label those parts that are important in the problem. Constants & variables should beclearlydistinguished.
(2) Write an equation for the quantity that is to be maximised or minimised. If this quantity is denoted by `' y'`, it must be expressed in terms of a single independent variable `x`. This may require some algebraic manipulations.
(3) lf `y= f(x)` is a quantity to bemaximumorminimum, find those values of `x` for which `dy/dx = f'(x) =0`.
(4) Test each values of `x` for which `f'(x) = 0` to determine whether it provides a maximum or minimum or neither. The usual tests are :

(a) If `d^2y/dx^2` is positive when `dy/dx = 0 => y` is minimum.
If `d^2 y/dx^2` is negative when `dy/dx = 0 => y` is maximum.
If `d^2y/dx^2 = 0` when `dy/dx = 0`, the test fails.

(b) If `dy/dx` is `tt((text(positive for), x< x_0) ,(text(zero), x=x_0) ,(text(negative for), x> x_0))]` `=>` a maximum occurs at `x = x_0`.

But if `dy/dx` changes sign from negative to zero to positive as `x` advances through `x_0` there is a minimum. If `dy/dx` does not change sign, neither a maximum nor a minimum. Such points are called INFLECTION POINTS.

(5) If the function `y = f(x)` is defined for only a limited range of values `a le x le b` then examine `x = a` & `x = b` for possible extreme values.
(6) lf the derivative fails to exist at some point, examine this point as possible maximum or minimum.

Useful formulae of Mensuration to remember :
# Volume of a cuboid = `lbh`.
# Surface area of a cuboid = `2 (lb + bh +hl)`.

#Volume of a prism = area of the base `x` height.
#Lateral surface of a prism = perimeter ofthe base `x` height.
# Total surface of a prism = lateral surface + 2 area ofthe base
(Note that lateral surfaces of a prism are all rectangles).

# Volume of a pyramid =`1/3` (area of the base) x (height).

# Curved surface of a pyramid= `1/2` (perimeter ofthe base) x slant height.
(Note that slant surfaces of a pyramid are triangles).
#Volume of a cone =`1/3 pir^2h`

#Curved surface of a cylinder= `2 pi rh`.
#Total surface of a cylinder= `2 pirh + 2 pi r^2`.

#Volume of a sphere =`4/3 pir^3`

#Surface area of a sphere =` 4 pi r^2`.

#Area of a circular sector =`1/2 r^2 theta`, when `theta` is in radians.

 
SiteLock