Basic Character of Amines :

Amines are relatively weak bases. They are stronger bases than water but are far weaker bases than hydroxides ions (`OH^-`), alkoxide ions (`RO^-`) and alkanide (`R:^-`) anions. These react with acids to form salts. See fig.1.

On reaction with a base such as `NaOH`, amine salt regenerate parent amine. See fig.2.

Basicity of Alkanamines :

Primary alkanamines `(RNH_2)` are more basic than ammonia `(NH_3)`. Their reactions with proton can be used to compare their basicity. See fig.1.

We can account for this on the basis of the electron-releasing ability of an alkyl group (`R`). An alkyl group releases electrons towards nitrogen, so the unshared electron pair becomes more available for sharing with proton of the acid. The substituted ammonium ion thus formed, gets stabilized as a result of positive charge dispersal by `+I` effect of the alkyl group. This makes alkylamines stronger bases than ammonia.

This explanation is supported by measurements showing that in the gas phase, the basicities of the following amines increase with increasing methyl substitution :

`(CH_3)_3N > (CH_3)_2NH > CH_3NH_2 > NH_3`

This is not the order of basicity of these amines in aqueous phase, however. In aqueous phase, the substituted ammonium cations get stabilized by `+I` effect of the alkyl group as well as solvation with water molecules. With a larger size of the ion, solvation and stability of the ion will be lesser. The stability order in aqueous phase is as follows : See fig.2.

When the stability of the substituted ammonium cation is greater, the corresponding amine as a base is stronger. The basicity order in aliphatic amines is `1^o > 2^o > 3^o`. This is the reverse of basicity order based on inductive effect.

There is no steric hindrance to `H`-bonding when the alkyl group is small. There is a difference in the basicity order in methyl and ethyl group and so on. Therefore, in aqueous state, inductive effect, solvation effect and steric hindrance of the alkyl group determine the basicity strength. The following examples show the basicity strength order in ethyl and methyl substituted amines.


`(C_2H_5)_2 NH > (C_2H_5)_3N > C_2H_5NH_2 > NH_3`

`(CH_3)_2 NH > (CH_3)NH_2 > (CH_3)_3N > NH_3`

Basicity of Arylamines :

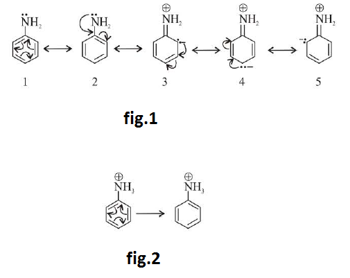
The `pK_b` value of aniline is quite high because in aniline, the `-NH_2` group is directly attached to the benzene ring. The following contributors make aniline a resonance hybrid : See fig.1.

Structure `1` and `2` are the Kekule structures that contribute to any benzene derivative. Structures `3`-`5`, however, delocalize the unshared electron pair of the nitrogen over the ortho and para position of the ring. This delocalizarion of the electron pair make it less available to a proton, and delocalization of the electron pair stabilizes aniline. When aniline accepts a proton it becomes an anilinium ion :

`C_6H_5 overset(. .)NH_2 + H_2O ⇋ undersettext(Anilinium ion)[C_6H_5 overset(oplus)(NH_3)] + overset(⊖)OH`

See fig.2.

The higher the number of resonating structures, the greater is the stability. This makes aniline with five resonating structures more stable than the anilinium ion. Therefore, the basic nature of aniline or other arylamines is less than that of ammonia.

 
SiteLock