Structural Isomerism in Alkenes :

`text(Chain isomerism :)`

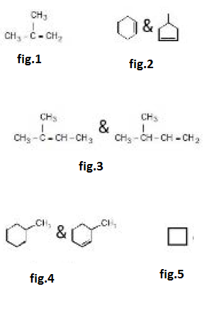
(i) `CH_3- CH = CH - CH 3` & See fig.1.

(ii) See fig.2.

`text(Positional Isomerism :)`

(i) `CH_2 = CH - CH_2-CH_3` & `CH_3- CH = CH - CH_3`

(ii) See fig.3.

(iii) See fig.4.

`text(Functional Isomerism :)`

(i) See fig.5 & `CH_3 -CH = CH - CH_3`

(ii) `CH_2 = CH - CH = CH_2` & `CH_3-CequivC -CH_3`

Stereoisomerism in Alkenes :

(a) `text(Geometrical Isomerism :)` See fig.1.

(b) `text(Optical Isomerism :)` See fig.2.


 
SiteLock