Amino Acids :

Amino acids are molecules, which contain two functional groups, one is carboxylic group and another is amino group. Amino acids are derivatives of carboxylic acids in which one hydrogen atom of carbon chain is substituted by Amino group. Amino group may be at alpha, beta or gama position with respect to carboxylic group. See fig.

See Table.

Some amino acids contain a second carboxyl group or a potential carboxyl group in the form of carboxamide: these are called `text(acidic amino acid)` some contain a second basic group which may be an amino group these are called `text(basic amino acids.)`

Physical Properties of Amino Acids :

Although the amino acids are commonly shown as containing an amino group and a carboxyl group, certain properties are not consistent with this structure. In contrast to amines and carboxylic acids, the amino acids are nonvolatile solids, which melt at fairly high temperatures.They are insoluble in organic solvents [i.e. non polar solvents] and are highly soluble in water.Their aqueous solution is neutral.Their aqueous solutions behave like solutions of substances of high dipole moment. Acidity and basicity constants are ridiculously low for - COOH and – `NH_2` groups In the physical properties melting points, solubility, and high dipole moment are just what would be expected of such a salt. The acid base properties also become understandable when it is realized that the measured Ka actually refers to the acidity of an ammonium ion, `RNH_3^(+)`

`text( )^(+)H_3NCHRCOO^(-) +H_2O ⇋ H_3O^(+) +H_2NCHRCOO^(-)`

`K_a = ([H_3O^(+)][H_2NCHRCOO^(-)])/([text( )^(+)H_3N -CH - RCOO^(-)])`

and `K_b` actually refers to the basicity of a carboxylate ion, `RCOO^(–)`

`text( )^(+)H_3N -CH - RCOO^(-) +H_2O ⇋ text( )^(+)H_3N - CHR - COOH + OH^(-) `

`K_b = ([text( )^(+)H_3N - CHR - COOH][OH^(-)])/([text( )^(+)H_3NCHRCOO^(-)])`

When the solution of an amino acid is made alkaline, the dipolar ion(I) is converted to the anion (II); the stronger base, hydroxide ion, removes a proton from the ammonium ion and displaces the weaker base, the amine

See fig.1.

When the solution of an amino acid is made acidic; the dipolar ion I is converted into the cation (III); the stronger acid `H_3O^(+)` , gives up a proton to the carboxylate ion, and displaces the weaker carboxylic acid.

See fig.2.

In summary, the acidic group of a simple amino acid like glycine is `–NH_3^(+) ` not `–COOH,` and basic group is `–COOH` not `–NH_2`.

Classification of Amino Acid :

Amino acid with non – polar side chain

See fig.1.

`text(Acidic Amino Acid:)` These amino acids contain a second carboxyl group or a potential carboxyl group in the form of carboxamide.

`text(Basic Amino Acids:)` These contain a second basic group which may be an amino group.

See fig.2.

Essential & Non-Essential amino acids :

Those amino acids which must be supplied to our diet as are not synthesized in body are known as essential amino acids. Some of them are

Valine, Leucine, Isoelucine, Phenylalanine, Arganine, Threonine , Tryptophan, Methionine, Lysine, Arginine, Histadine

Note: Histidine and arginine are essential i.e. can be syntrhesized but not in quantities sufficient to permit normal growth.

Those amino acids which are synthesized in body are non-essential amino acids. Some of them are Glycine, Alanine, Tyrosine, Serine, Cystine, Proline, Hydroxyprocine, Cysteine, Aspartic acid, Glutonic acid.

Zwiter Ion :

Amino acids contain both acidic carboxyl group -(COOH) and basic amino group in the same molecules. In aqueous solution, the acidic carboxyl group can lose a proton and basic amino group can gain a proton in a kind of internal acid – base reaction. The product of this internal reaction is called a Dipolar or a Zwitter ion. The Zwitter ion is dipolar, changed but overall electrically neutral and contain both a positive and negative charge. Amino acid in the dipolar ion form are amphoteric in nature. Depending upon the pH of the solution, the amino acid can donate or accept proton.

Iso Electric Point of Amino Acids :

When ionized form of amino acid is placed in an electric field it will migrate towards the opposite electrode. Depending upon the pH of the medium following three thing may happen.

1.In acidic medium, the cation move towards cathode.
2.In basic medium, the anion move towards anode.
3.The Zwitter ion does not move towards any of the electrodes.

At a certain pH (i.e. H+ concentration), the amino acid molecules show no tendency to migrate towards any of the electrodes and exists as a neutral dipolar ion, when placed in electric field is known as isoelectric point. All amino acids do not have the same isoelectric point & it depends upon the nature of R – linked to α- carbon atom.

See Table.

Amino acids have minimum aqueous solubility at isoelectric point.

See fig.


Synthesis of `α`-amino acids :

(i) Protein can be hydrolyzed by refluxing with dilute hydrochloric acid to give a mixture of α - amino acids. The resulting mixture can be separated by fractional crystallization.


(ii) Fractional distillation of their ester followed by hydrolysis (Fischer’s method)


(iii) Selective precipitation as salt with phosphotungstic and picric acid.


(iv) Distribution of amino acid between n – butanol saturated with water (Dakin’s method).


(v) Column, paper and gas chromatography.


(vi)Electrophoresis.

`text(By amination of α- halo acid)`

(i) `undersettext(Chloro acidic acid)(Cl -CH_2 -COOH) +undersettext(excess)(3NH_3) underset(-NH_4Cl)overset(60^oC)-> H_2N-CH_2- COO^(-)NH_4^(+) overset(H^(+)//H_2O)-> undersettext(Glycin)(H_2N -CH_2-COOH)`

(ii) `H_3C -underset(underset(BR)(|))(CH) - COOH + 3NH_3 undersettext(-NH_4Cl)overset(60^oC)-> H_3C - underset(underset(NH_2)(|))(CH)-COoverset(-)(O)NH_4^(+) overset(H^(+)//H_2O)-> undersettext(Alanine)(H_3C - underset(underset(NH_2)(|))(CH)-COOH)`

`text(By Strecker Sythesis)`

See fig.

Note: Generally the aldehyde is treated with a mixture of ammonium chloride and potassium cyanide in aqueous solution

`NH_4Cl +KCN oversettext(Aqueos)-> NH_4CN + KCN`

`NH_4CN oversettext(Aqueos)-> NH_3 + HCN`

Chemical Properties of Amino Acids :

Amino acids show the following characteristic reactions.

(a) Reaction of the carboxyl group.
(b) Reaction of the amino group.
(c) Reaction involving both the carboxyl and the amino group.

`text(Reaction of the carboxyl group)`
Reaction with base

(i) `H_3N^(+) - CH_2 - COO^(-) + NaOH -> H_2N -CH_2 - COO^(-)Na^(+) + H_2O`

(ii) `undersettext(Alanine)(H_3C - underset(underset(text( )^(+)NH_3)(|))(CH)-COO^(-)) + NaOH -> underset(text(Sodium) alpha - text(amino propionate))(H_3C - underset(underset(NH_2)(|))(CH)- COoverset(-)(O)Na^(+)) + H_2O`

`text(Machanism :)` See fig.1.

Esterification

`undersettext(Glycine)(H_3N^(+)-CH_2-COO^(-)) overset(HCl)->Cl^(-)H_3N^(+)-CH_2-Cl^(-)H_3N^(+) -CH_2 - COOC_2H_6 overset(AgOH)-> underset(text(Ethyl) alpha text(amino acrtate) )(H_2N - CH_2 - COOC_2H_5) +AgCl + H_2O`

`text(Decarboxylation)`

`undersettext(Glycine)(H_2N -CH_2 -COOH) + Ba(OH)_2 overset(Delta)-> undersettext(Methyl amine)(CH_3 - NH_2 +BaCO_3) +H_2O`

`undersettext(Alanine)(H_2N - overset(overset(CH_3)(|))(CH) -COOH) +Ba(OH)_2 overset(Delta)-> CH_3 -CH_2 -NH_2 +BaCO_3 +H_2O`

`text(Reduction)`

`undersettext(Glycine)(H_2N - CH_2 -overset(overset(O)(|))(C)-OH) underset(4[H])overset(LiAH_4)-> undersettext(2- amino ethynol)(H_2N -CH_2 -OH)`

`H_2N - underset(underset(NH_2)(|))(CH)-overset(overset(O)(||))(C)-OH underset(4[H])overset(LiAIH_4)-> H_3C -underset(underset(NH_2)(|))(CH)-CH_2 -OH`

`text(Reaction with strong acid)`

`undersettext(Glycine)(H_3N^(+)-CH_2 -COO^(-)) +HCl -> undersettext(Glycine hydrochloride)(Cl^(-)H_3N^(+) -CH_2 - COOH)`

`undersettext(Alanine)(H_3C - underset(NH_3^(+))(CH)- COO^(-)) +HCl -> undersettext(Alanine hydrochloride)(H_3C -underset(NH_3^(+)Cl^(-))(CH) - COOH)`

`text(Acetylation)`

See fig.2.

`text(Reaction with Nitrous acid)`

`undersettext(Glycine)(H_3N^(+)-CH_2-COO^(-)) + undersettext(Nitrous acid)(HONO) -> undersettext(Glycollic acid)(HO -CH_2 -COOH) +N_2 uparrow +H_2O`

`undersettext(Aniline)(H_3C -underset(underset(NH_3^(+))(|))(CH) - COO^(-)) + undersettext(Nitrous acid)(HONO) -> undersettext(Lactic acid)(H_3C - underset(underset(OH)(|))(CH)-COOH) +N_2 uparrow + H_2O`

Note:

(i) This reaction forms the basis of the “van slyke method” for the estimation of amino acids.


(ii) The nitrogen is evolved (one half comes from the amino acid) quantitatively and its volume measured.


Reaction with Nitrosyl halide

(i) This reaction forms the basis of the “van slyke method” for the estimation of amino acids.

(ii) The nitrogen is evolved (one half comes from the amino acid) quantitatively and its volume measured.


Reaction with Nitrosyl halide

`undersettext(Glycine)(H_2N -CH_2 -COOH) +NOCl -> undersettext(Chloroacetic acid)(Cl -CH_2 -COOH) +N_2 uparrow +H_2O`

Reaction with 2, 4 – Dintrofluorobenzene (DNFB)

See fig.3.

Reaction involving both the carboxyl & the amino group

`text(Effect of heat)`

α - amino acids undergo dehydration on heating (200°C) to give diketo piperazines

See fig.4.

Peptide & Proteins

Classification of Proteins :

There are two methods for classifying proteins.

(a) Classification according to Composition


(b) Classification according to Functions


Classification according to Composition

`(1)` `text(Simple proteins)`

Simple proteins are those which yield only α-amino acids upon hydrolysis.Simple proteins are composed of chain of amino acid unit only joined by peptide linkage.
Examples are: Egg (albumin); Serum (globulins); Wheat (Glutelin); Rice (Coryzenin)


`(2)` `text(Conjugated proteins)`

Conjugated proteins are those which yield α - amino acids plus a non protein material on hydrolysis. The non protein material is called the prosthetic group.
Example: Casein in milk (prosthetic group is phosphoric acid); Hemoglobin (prosthetic group is Nucleic acid); Chlolesterol (prosthetic group – lipid).

According to molecular shape, proteins are further classified into two types.

`(A)` `text(Fibrous protein)`

(a) These are made up of polypeptide chain that are parallel to the axis & are held together by strong hydrogen and disulphide bonds.
(b) They can be stretched & contracted like thread.
(c) They are usually insoluble in water.

Example:Keratin (hair, wool, silk & nails); Myosin (muscle)

`(B)` `text(Globular Proteins)`

(a) These have more or less spherical shape (compact structure).
(b) α - amino helix are tightly held bonding; H – bonds, disulphide bridges, ionic or salt bridges:

Examples: Albumin (egg)

`text(Classification According to functions)`

The functional classification includes following groups

`(1)` `text(Structural proteins)`

These are the fibrous proteins such as collogen (skin, cartilage & bones) which hold living system together.

`(2)` `text(Blood proteins)`

(i) The major proteins constituent of the blood are albumin hemoglobin & fibrinogen.
(ii) Their presence contribute to maintenance of osmotic pressure, oxygen transport system & blood coagulation respectively.

Chemical Tests for Protein :

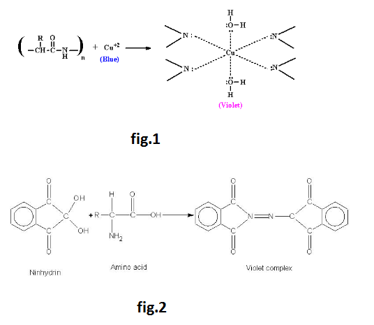
`text(Biuret test)`

On adding a dilute of copper sulphite to alkaline solution of protein, a violet colour is developed. This test is due to the presence of peptide (-CO-NH-)linkage.

See fig.1.

`text(Millon’s test)`

Millon’s reagent consists of mercury dissolved in nitric acid (forming a mixture of mercuric & mercurous nitrates). When millon’s reagent is added to a protein, a white ppt is formed, which turn brick red on heating. This test is given by protein which yield tyrosine on hydrolysis (due to the presence of phenolic group).

`text(Nihydrin test)`

This test is given by all proteins. When protein is boiled with a dilute solution of ninhydrin, a violet colour is produced.

See fig.2.

Uses of Proteins :


(i) Protein constitute as essential part of our food, meat, eggs, fish, cheese provide protein to human beings.

(ii) Casein (a milk protein) is used in the manufacture of artificial wool & silk.

(iii) Amino acid needed for medicinal use & feeding experiment, are prepared by hydrolysis of proteins.

(iv) Gelatin is used in desserts, salad’s, candies bakery goods etc.

(v) Leather is obtained by tanning the protein of animal hides.

(vi) Hemoglobin present in blood is responsible for carrying oxygen and `CO_2.`

(vii) Hormones control various process.

(viii) Enzymes are the proteins produces by living system & catalyse specific biological reaction.


`text(Example:)`

(a) Ureases (Urea → `CO_2 + NH_2` )

(b) Pepsin (Protein → Amino acid)

(c) Trypsin (Protein → Amino acid)

(d) Carbonic anhydride `(H_2CO_3 → H_2O + CO_2)`

(e) Nuclease (RNA, DNA →Nucleotides).

 
SiteLock